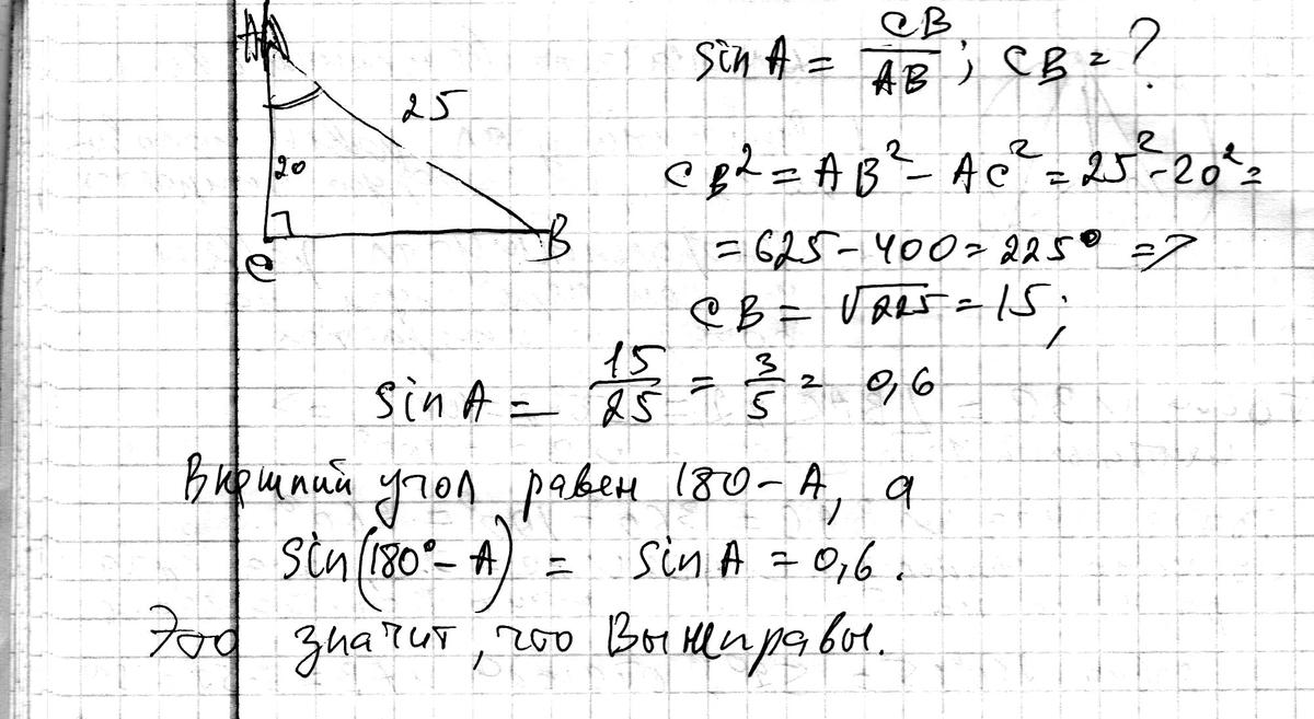
У меня получилось 0.6 синус внутр.угла. А синус внешнего угла равен -0.6?
На сайте написано 0.6......
Приложения:

Ответы
Ответ дал:
0
Похоже, Вы ошибаетесь?
Приложения:

Ответ дал:
0
Спасибо. А внутренний угол тоже 0.6?
Ответ дал:
0
синус внутреннего угла тоже 0,6
Ответ дал:
0
спасибо)
Вас заинтересует
2 года назад
2 года назад
7 лет назад
7 лет назад
9 лет назад
10 лет назад