• Предмет: Алгебра
  • Автор: julcot
  • Вопрос задан 11 лет назад

 

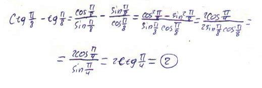
ctg pi/8- tg pi/8

 

 

решите пожалуйста побыстрей,срочно надо

Ответы

Ответ дал: isidar
0

Відповідь на малюнку.

Тригонометричний вираз.

Приложения:
Вас заинтересует