• Предмет: Алгебра
  • Автор: панда87
  • Вопрос задан 10 лет назад

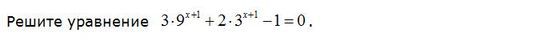
Помогите решить показательное уравнение, УМОЛЯЮ!!!!!!!!!!!!!!!!!!!!!!!!!!!!!!!1

Приложения:

Ответы

Ответ дал: morgan68
0
(3*3^2(x+1))+(2*3^(x+1))-1=0 приводим к одинаковым основаниям 3^(x+1)=t делаем замену 3^2(x+1)=t^2 3t^2+2t-1=0 получаем квадратное уравнение D=4+12=16 t1=(-2+4)/6=1/3 находим корни этого уравнения t2=(-2-4)/6=-1 3^(x+1)=1/3 делаем обратную замену 3^(x+1)=3^-1 x+1=-1 находим x1 x1=-2 3^(x+1)=-1 3^(x+1)=-3^0 x+1=0 x2=-1 находим x2 Или x2= (log3 -1) -1
Ответ дал: панда87
0
Какой ответ получился??
Ответ дал: morgan68
0
x1=-2, x2= log(3-1)-1
Вас заинтересует