• Предмет: Алгебра
  • Автор: MikeEffect
  • Вопрос задан 10 лет назад

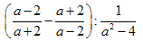
Упростить выражение, за ранее спасибо :3

Приложения:

Ответа на этот вопрос пока нет. Попробуйте найти его через форму поиска.

Вас заинтересует