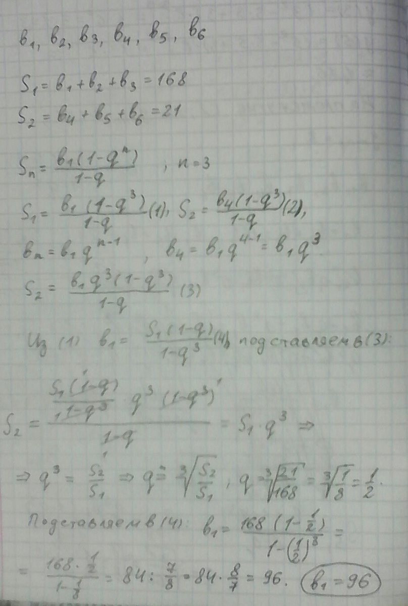
Найдите первый член геометрической прогрессии,состоящей из шести членов,если сумма трех первых ее членов равна 168,а сумма трех последних равна 21.
Ответы
Ответ дал:
0
Решение задания в файле.
Приложения:

Вас заинтересует
2 года назад
7 лет назад
9 лет назад
9 лет назад
10 лет назад