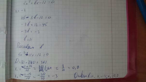
Один из корней уравнения 5х^2+вх-12=0 равен -3. НАЙДИТЕ КОЭФФИЦИЕНТ в и другой корень уравнения.
Ответы
Ответ дал:
0
Вроде все описал, если что-то интересует пиши в лс)
Приложения:

Вас заинтересует
2 года назад
7 лет назад
7 лет назад
9 лет назад
9 лет назад
10 лет назад