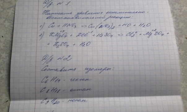
Напишите уравнение окислительно-восстановительной реакции:
1)Cu+HNo3=>Cu(No3)2+no+H2O
Приложения:
Ответы
Ответ дал:
0
Уравняла
3Cu + 8HNO3(разб. ) = 3Cu(NO3)2 + 2NO↑ + 4H2O
Восстановление: NO3(-) + 4H(+) + 3e- => NO + 2H2O - коэффициент 2
Окисление: Cu − 2e− => Cu(2+)- коэффициент 3
3Cu + 8HNO3(разб. ) = 3Cu(NO3)2 + 2NO↑ + 4H2O
Восстановление: NO3(-) + 4H(+) + 3e- => NO + 2H2O - коэффициент 2
Окисление: Cu − 2e− => Cu(2+)- коэффициент 3
Ответ дал:
0
Спасибо, а на картинке ещё 2 уравнение
Вас заинтересует
2 года назад
8 лет назад
8 лет назад
10 лет назад
10 лет назад
10 лет назад