Ответы
Ответ дал:
0
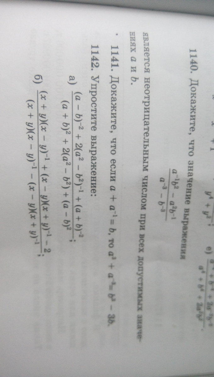
смотри решение на фото
Приложения:

Ответ дал:
0
чтобы доказать, необходимо возвести в квадрат
Вас заинтересует
2 года назад
2 года назад
7 лет назад
7 лет назад
9 лет назад
9 лет назад
10 лет назад
10 лет назад