• Предмет: Алгебра
  • Автор: Аноним
  • Вопрос задан 10 лет назад

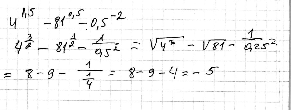
решите уравнение 4^1,5 - 81^0,5 - (0,5)^-2

Ответы

Ответ дал: Аноним
0
Решение в скане. Упростил до не моги.
Приложения:
Ответ дал: kirichekov
0
 4^{1,5} - 81^{0,5}- 0,5^{-2}=( 2^{2} ) ^{1,5}  -( 9^{2} ) ^{0,5}  -( frac{5}{10} ) ^{-2} = 2^{2*1,5} - 9^{2*0,5} - (frac{2}{1}) ^{2}
= 2^{3} -9-4=-5
Приложения:
Вас заинтересует