• Предмет: Алгебра
  • Автор: svetlanywka
  • Вопрос задан 10 лет назад

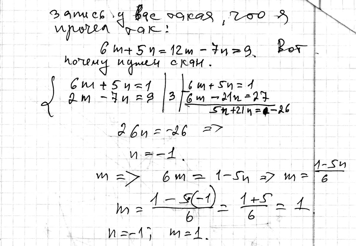
помогите решить линейное уравнение:6m+5n=1 2m-7n=9

Ответы

Ответ дал: Аноним
0
решение в скане. Удачи.
Приложения:
Ответ дал: svetlanywka
0
в первом уравнении =1, а у тебя 9. обьясни
Ответ дал: Аноним
0
Теперь вижу. Сейчас исправлю.
Ответ дал: Аноним
0
изменил
Ответ дал: svetlanywka
0
Спасибо
Ответ дал: Аноним
0
В следующий раз - условие лучше сканом.
Вас заинтересует