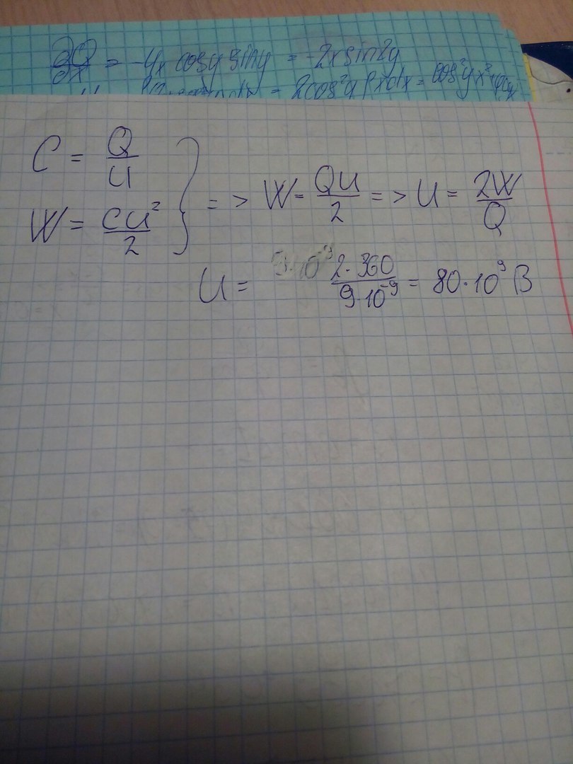
Каково напряжение обкладок конденсатора, если заряд на обкладках равен 9 нКл, а его энергия 360 Дж?
Ответы
Ответ дал:
0
при энергии 360 Дж.....
Приложения:

Вас заинтересует
2 года назад
2 года назад
7 лет назад
7 лет назад
9 лет назад
9 лет назад
10 лет назад
10 лет назад