sin (x/3 - Пи/3)=1/2
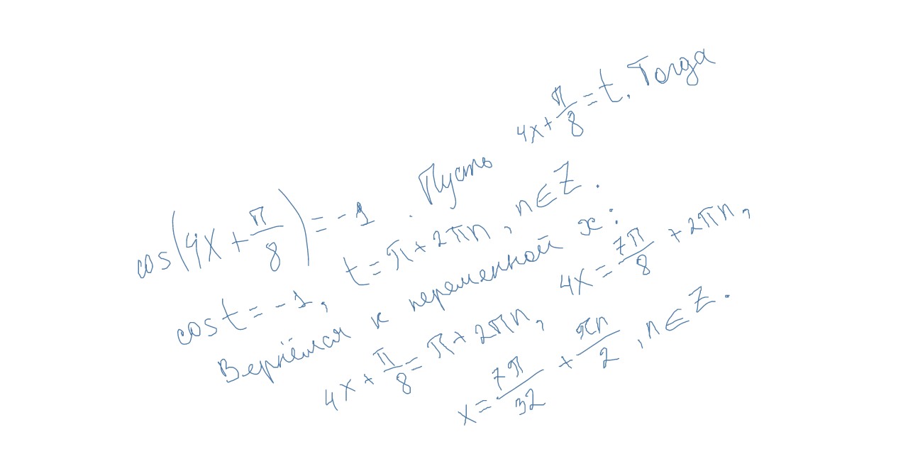
cos (4x+Пи/8)= -1
tgx+сtgx=2
sin2(это степень)-4sin2x+3=0
Подробное решение,пожалуйста!!! Срочно!!!
Ответы
Ответ дал:
0
Решение второго во вложении
Приложения:

Вас заинтересует
2 года назад
8 лет назад
10 лет назад
10 лет назад
10 лет назад