Ответы
Ответ дал:
0
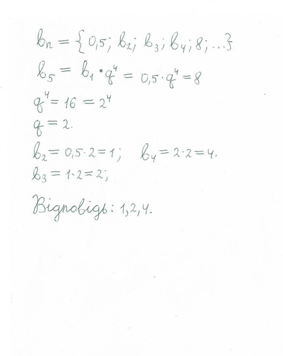
Тримай розв'язання. Якщо щось буде незрозумілим — запитуй, відповім.
Приложения:

Вас заинтересует
2 года назад
2 года назад
7 лет назад
9 лет назад
9 лет назад