• Предмет: Алгебра
  • Автор: Diimaa
  • Вопрос задан 10 лет назад

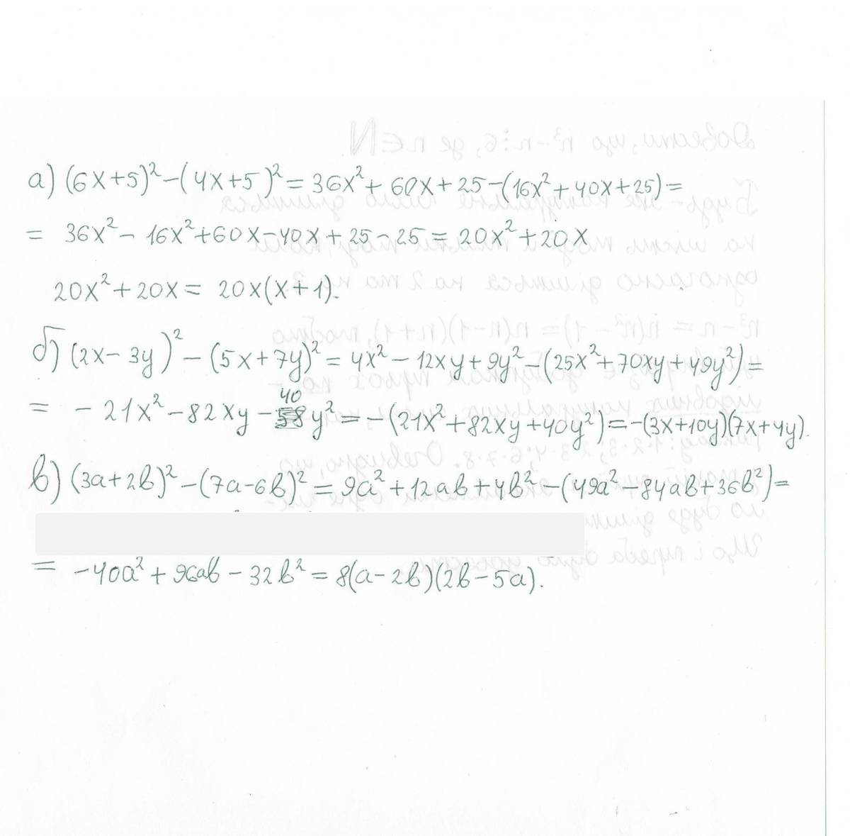
даю 30 баллов, помогите решить, упростить выражения:
а) (6х + 5)^2 - (4x+5)^2
б) (2х - 3у)^2 - (5x+7y)^2
в) (3a + 2b)^2 - (7a-6b)^2

Ответы

Ответ дал: genius20
0
Держи решение. Если что-нибудь будет не понятно — спрашивай.
Приложения:
Вас заинтересует