• Предмет: Алгебра
  • Автор: nasss111
  • Вопрос задан 11 лет назад

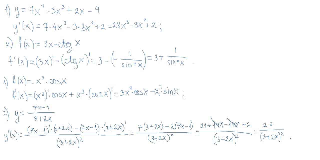
используя формулу производной суммы, найти производную функции 1)y=7x4-3x3+2x-4 2)f(x)=3x-ctgx используя формулы производной произведения и частного найти производную функции 1) f(x)=x3*cosx 2) y=7x-1/3+2x <---- это дробное  

Ответы

Ответ дал: Karina012345
0

См. решение во вложении. Надеюсь, что не сделала шибок в вычислениях.

Приложения:
Вас заинтересует