• Предмет: Математика
  • Автор: Ника6661
  • Вопрос задан 10 лет назад

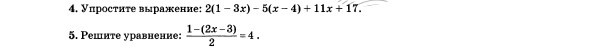
Люди добрые,помогите с математикой.
пожалуйста.

Приложения:

Ответа на этот вопрос пока нет. Попробуйте найти его через форму поиска.

Вас заинтересует