• Предмет: Алгебра
  • Автор: DolliR
  • Вопрос задан 10 лет назад

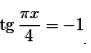
Решите уравнение. В ответе напишите наибольший отрицательный корень.

Приложения:

Ответа на этот вопрос пока нет. Попробуйте найти его через форму поиска.

Вас заинтересует