• Предмет: Математика
  • Автор: hinataangel1
  • Вопрос задан 10 лет назад

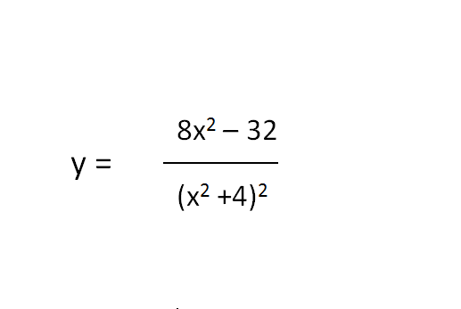
Найти производную функции

Приложения:

Ответы

Ответ дал: flsh
0
y= frac{8x^2-32}{(x^2+4)^2} = frac{8(x^2-4)}{(x^2+4)^2}  \ y'= 8*frac{2x(x^2+4)^2-(x^2-4)2(x^2+4)2x}{(x^2+4)^4} = frac{16x(x^2+4)[x^2+4-2(x^2-4)]}{(x^2+4)^4}=frac{16x(12-x^2)}{(x^2+4)^3}
Вас заинтересует