Ответы
Ответ дал:
0
вот это ответ::::::::
Приложения:

Ответ дал:
0
г)2/5*x=1 1/5
x=1 1/5:2/5
x=6/5:2/5
x=6/5*5/2
x=3
д)x*6=4
x=4:6
x=4/6
x=2/3
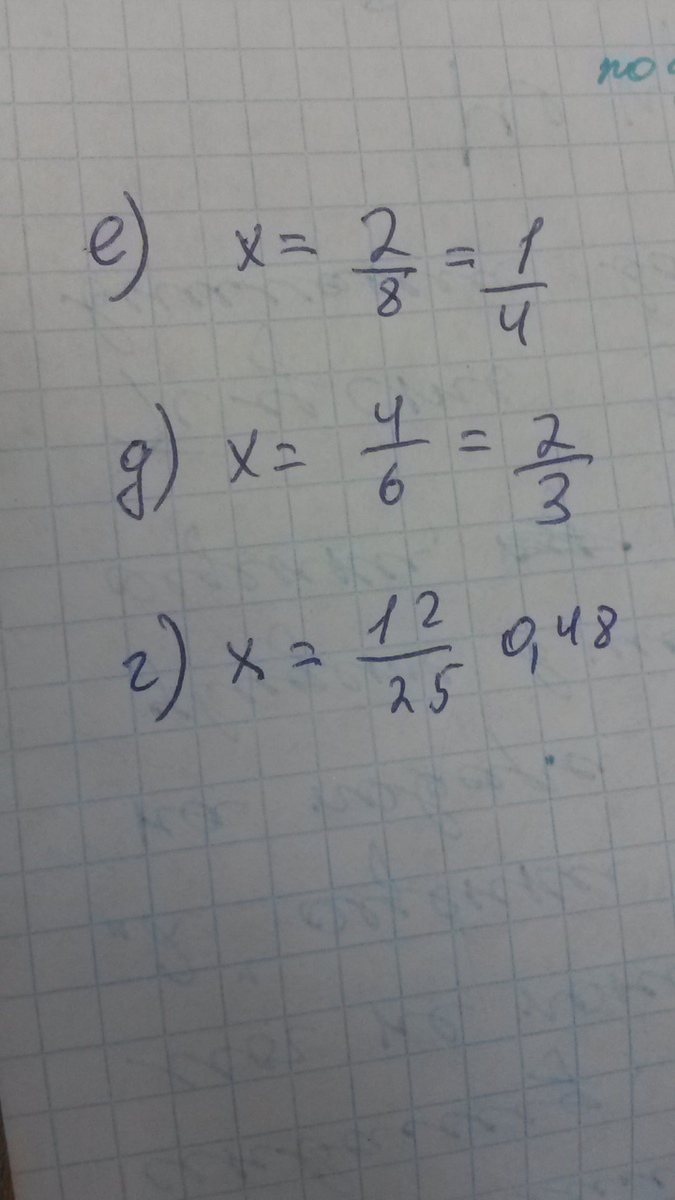
е)8*x=2
x=2:8
x=2/8
x=1/4
x=0,25
x=1 1/5:2/5
x=6/5:2/5
x=6/5*5/2
x=3
д)x*6=4
x=4:6
x=4/6
x=2/3
е)8*x=2
x=2:8
x=2/8
x=1/4
x=0,25
Приложения:

Вас заинтересует
2 года назад
2 года назад
7 лет назад
9 лет назад
10 лет назад