Ответы
Ответ дал:
0
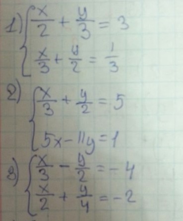
1) x/2 + y/3 = 3 ; 3x + 2y = 18 |*2 ; 6x + 4y = 36
x/3 + y/2 = 1/3; 2x + 3y = 2 |*(-3) ; -6x - 9y = -6
+ ------------------
-5y = 30 y = -6;
2x + 3y = 2; 2x + 3(-6) = 2; 2x = 20; x=10
Проверка: 3*10 + 2(-6) = 30 - 12 = 18
2) x/3 + y/2 = 5; 2x + 3y = 30 |*5 ; 10x + 15y = 150
5x - 11y = 1; 5x - 11y = 1 |*(-2) ; -10x + 22y = -2
+ --------------------
37y = 148; y = 4
5x - 11y = 1; 5x - 44 = 1; 5x = 45; x=9
Проверка .5*9 - 11*4 = 45 - 44 = 1
3) x/3 - y/2 = -4; 2x - 3y = - 24; | *(-2); - 4x + 6y = 48
x/2 + y/4 = -2; 4x + 2y = -16; 4x + 2y = -16
+ ---------------------
8y = 32; y = 4
2x - 3y = - 24; 2x - 3*4 = -24; 2x = -12; x = -6
Проверка: x/3 - y/2 = -4; -6/3 - 4/2 = -2 -2 = -4
x/3 + y/2 = 1/3; 2x + 3y = 2 |*(-3) ; -6x - 9y = -6
+ ------------------
-5y = 30 y = -6;
2x + 3y = 2; 2x + 3(-6) = 2; 2x = 20; x=10
Проверка: 3*10 + 2(-6) = 30 - 12 = 18
2) x/3 + y/2 = 5; 2x + 3y = 30 |*5 ; 10x + 15y = 150
5x - 11y = 1; 5x - 11y = 1 |*(-2) ; -10x + 22y = -2
+ --------------------
37y = 148; y = 4
5x - 11y = 1; 5x - 44 = 1; 5x = 45; x=9
Проверка .5*9 - 11*4 = 45 - 44 = 1
3) x/3 - y/2 = -4; 2x - 3y = - 24; | *(-2); - 4x + 6y = 48
x/2 + y/4 = -2; 4x + 2y = -16; 4x + 2y = -16
+ ---------------------
8y = 32; y = 4
2x - 3y = - 24; 2x - 3*4 = -24; 2x = -12; x = -6
Проверка: x/3 - y/2 = -4; -6/3 - 4/2 = -2 -2 = -4
Вас заинтересует
2 года назад
8 лет назад
8 лет назад
10 лет назад
10 лет назад