• Предмет: Математика
  • Автор: ALHORON
  • Вопрос задан 10 лет назад

С подробным решением.
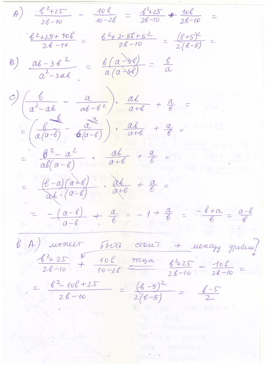
A) ((b^2+25)/2b-10)-((10b)/10-2b)=..
B) (ab-3b^2)/a^2-3ab)=..
C) (((b)/a^2-ab)-(a)/ab-b^2))*(ab)/(a+b)+(a)/(b)=..

Ответы

Ответ дал: alfabetta
0
смотри приложенный файл
Приложения:
Вас заинтересует