Ответы
Ответ дал:
0
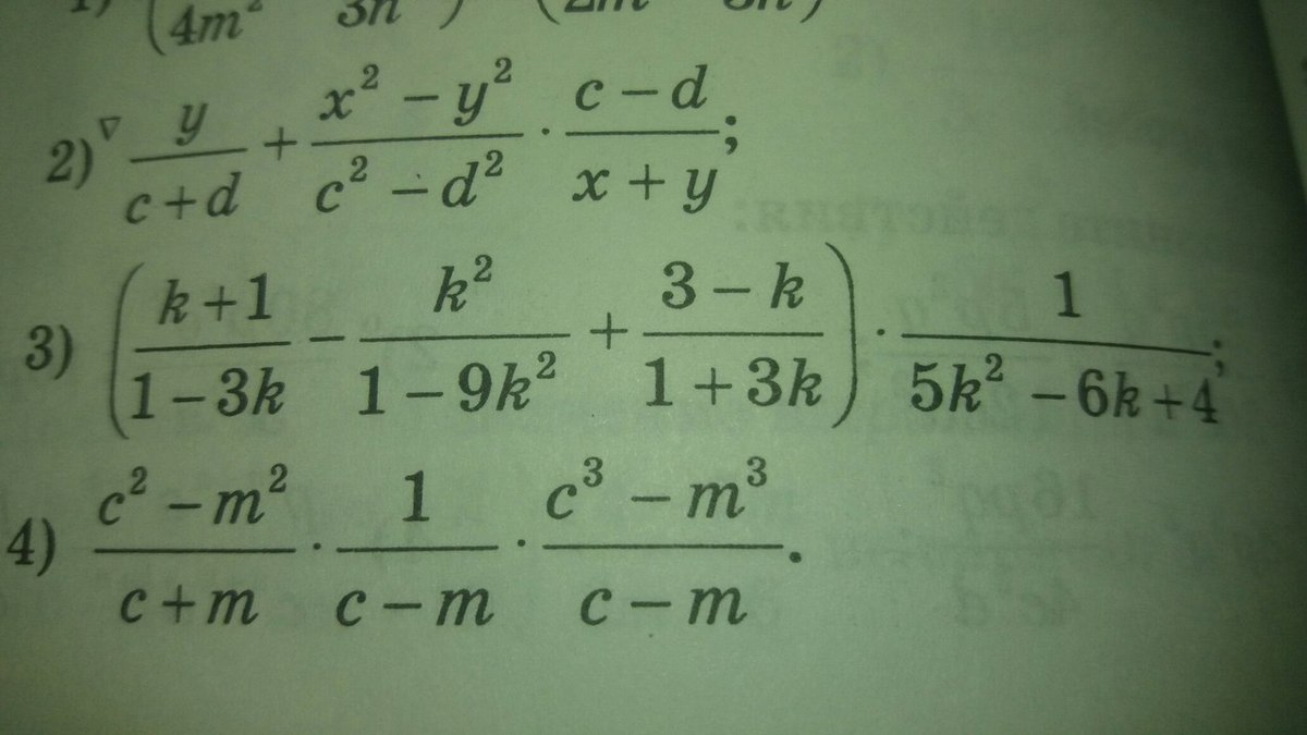
(((1+3r)(r+1)-r^2+(1-3r)(3-r))/1-9r)*(1/5r^2-6r+4)=
((r+3r^2+1+3r-r^2+3-9r-r+3r^2)/1-9r^2)*(1/5r^2-6r+4)=
(5r^2-6r+4/1-9r^2)*(1/5r^2-6r+4)=1/1-9r^2
((r+3r^2+1+3r-r^2+3-9r-r+3r^2)/1-9r^2)*(1/5r^2-6r+4)=
(5r^2-6r+4/1-9r^2)*(1/5r^2-6r+4)=1/1-9r^2
Вас заинтересует
2 года назад
2 года назад
8 лет назад
8 лет назад
10 лет назад
10 лет назад