Ответы
Ответ дал:
0
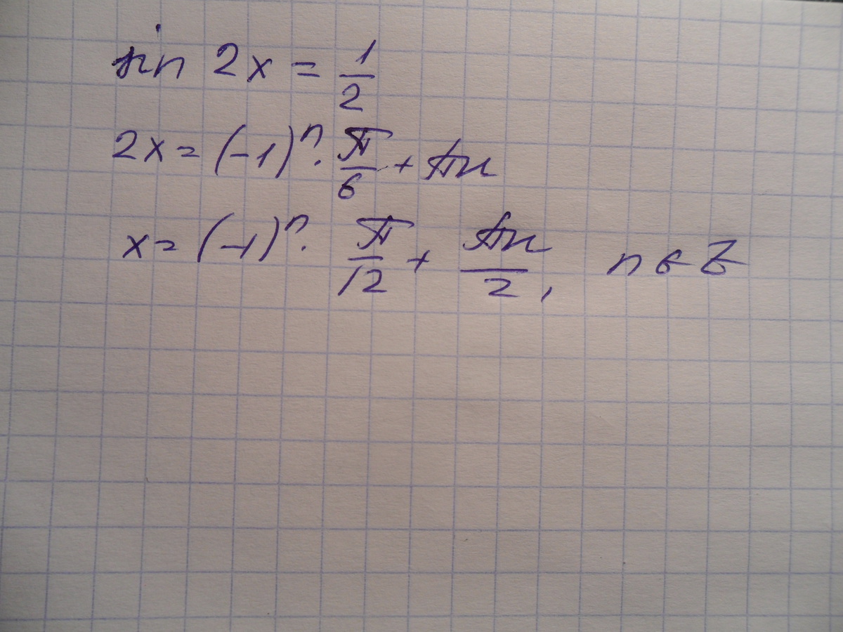
найпростіші тригонометричні рівняння
Приложения:

Ответ дал:
0
Решение
1/2+sin2x=1
sin2x = 1 - 1/2
sin2x = - 1/2
2x = (-1)^n arcsin(- 1/2) + πk, k ∈ Z
2x = (-1)^(n+1) arcsin(1/2) + πk, k ∈ Z
2x = (-1)^(n+1) *(π/6) + πk, k ∈ Z
x = (-1)^(n+1) *(π/12) + πk/2, k ∈ Z
1/2+sin2x=1
sin2x = 1 - 1/2
sin2x = - 1/2
2x = (-1)^n arcsin(- 1/2) + πk, k ∈ Z
2x = (-1)^(n+1) arcsin(1/2) + πk, k ∈ Z
2x = (-1)^(n+1) *(π/6) + πk, k ∈ Z
x = (-1)^(n+1) *(π/12) + πk/2, k ∈ Z
Приложения:

Вас заинтересует
2 года назад
2 года назад
7 лет назад
7 лет назад
9 лет назад
10 лет назад