Ответы
Ответ дал:
0
Решение на фотографии
Приложения:

Ответ дал:
0
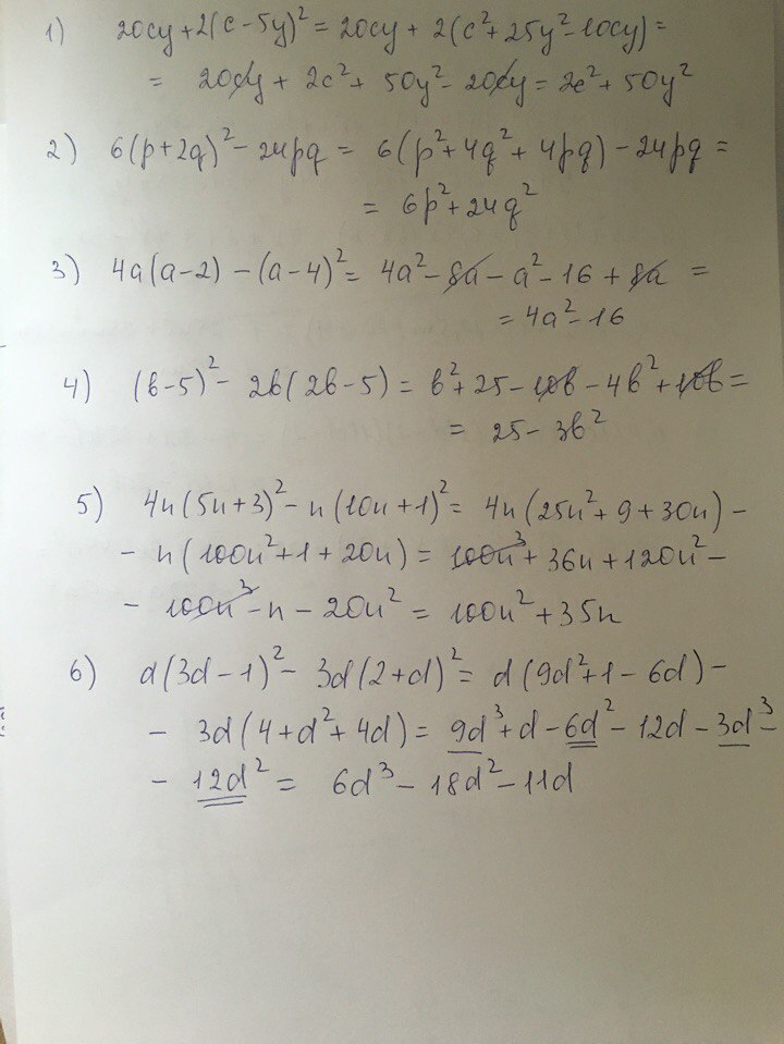
20cy + 2*( c - 5y)² = 20cy + 2*( c² - 10cy + 25y² ) = 20cy + 2c² - 20cy + 50y² =
= 2c² + 50y²
-------------------------------------
6*( p + 2q)² - 24pq = 6*( p² + 4pq + 4q² ) - 24pq = 6p² + 24pq + 24q² - 24pq =
= 6p² - 24pq
-------------------------------------
4a*( a - 2 ) - ( a - 4 )² = 4a² - 8a - ( a² - 8a + 16 ) = 4a² - 8a - a² + 8a - 16 =
= 3a² - 16
--------------------------------------
( b - 5 )² - 2b*( 2b - 5 ) = b² - 10b + 25 - 4b² + 10b = - 3b² + 25
---------------------------------------
4n*( 5n + 3 )² - n*( 10n + 1 )² = 4n*( 25n² + 30n + 9 ) - n*( 100n² + 20n + 1 ) =
= 100n³ + 120n² + 36n - 100n³ - 20n² - n = 100n² + 35n
----------------------------------------
d*( 3d - 1 )² - 3d*( 2 + d )² = d*( 9d² - 6d + 1 ) - 3d*( 4 + 4d + d² ) =
= 9d³ - 6d² + d - 12d - 12d² - 3d³ = 6d³ - 18d² - 11d
= 2c² + 50y²
-------------------------------------
6*( p + 2q)² - 24pq = 6*( p² + 4pq + 4q² ) - 24pq = 6p² + 24pq + 24q² - 24pq =
= 6p² - 24pq
-------------------------------------
4a*( a - 2 ) - ( a - 4 )² = 4a² - 8a - ( a² - 8a + 16 ) = 4a² - 8a - a² + 8a - 16 =
= 3a² - 16
--------------------------------------
( b - 5 )² - 2b*( 2b - 5 ) = b² - 10b + 25 - 4b² + 10b = - 3b² + 25
---------------------------------------
4n*( 5n + 3 )² - n*( 10n + 1 )² = 4n*( 25n² + 30n + 9 ) - n*( 100n² + 20n + 1 ) =
= 100n³ + 120n² + 36n - 100n³ - 20n² - n = 100n² + 35n
----------------------------------------
d*( 3d - 1 )² - 3d*( 2 + d )² = d*( 9d² - 6d + 1 ) - 3d*( 4 + 4d + d² ) =
= 9d³ - 6d² + d - 12d - 12d² - 3d³ = 6d³ - 18d² - 11d
Приложения:

Вас заинтересует
2 года назад
2 года назад
7 лет назад
7 лет назад
9 лет назад
9 лет назад
10 лет назад