• Предмет: Алгебра
  • Автор: Dina200005
  • Вопрос задан 10 лет назад

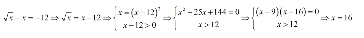
√x-x=-12 решить уравнение

Ответы

Ответ дал: Аноним
0
решение смотри во вложении
Приложения:
Вас заинтересует