Ответы
Ответ дал:
0
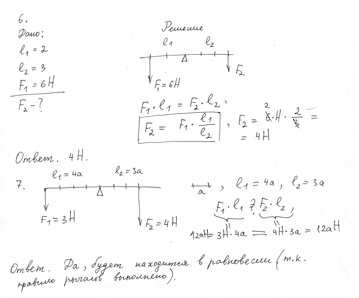
1) Данно: F1=6 H L1=2 L2=3 найти F2=?
Решение
F1*L1=F2*L2 F2=F1*L1/L2=6*2/3=4 H Ответ F2=4 H
2) Дано: F1=3 H F2=4 H L1=4 L2=3
F1*L1=F2*L2
3*4=4*3
Равновесие сохранится
=============
Ответ дал:
0
Мне бы с дано и решением.
Ответ дал:
0
Сейчас изменим..
Ответ дал:
0
wwwwwwwwwwwwwwwwwwwwwwwww====>>+
Приложения:

Вас заинтересует
2 года назад
2 года назад
7 лет назад
9 лет назад
10 лет назад
10 лет назад