Ответы
Ответ дал:
0
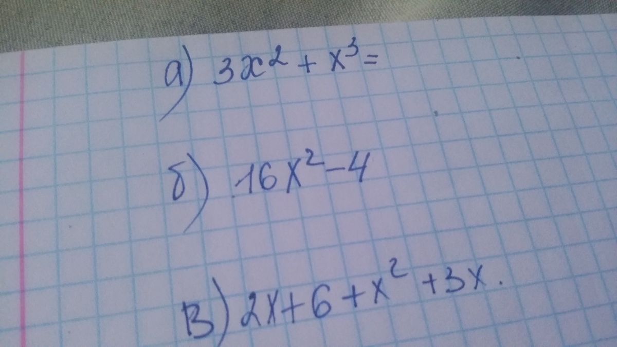
a) x(3x+x^2)=0
x=0
x^2+3x=0
x(x+3)=0
x=0
x=-3
Ответ: x=0
x=-3
б)16x^2=4
x^2=4/16
x=+-1/2
Ответ: x=+-1/2
в) x^2+5x+6=0
D=25-24=1(1)
x1=(-5-1)/2=-3
x2=(-5+1)/2=-2
Ответ: x1=-3; x2=-2
x=0
x^2+3x=0
x(x+3)=0
x=0
x=-3
Ответ: x=0
x=-3
б)16x^2=4
x^2=4/16
x=+-1/2
Ответ: x=+-1/2
в) x^2+5x+6=0
D=25-24=1(1)
x1=(-5-1)/2=-3
x2=(-5+1)/2=-2
Ответ: x1=-3; x2=-2
Вас заинтересует
3 года назад
3 года назад
8 лет назад
8 лет назад
10 лет назад
10 лет назад