Ответы
Ответ дал:
0
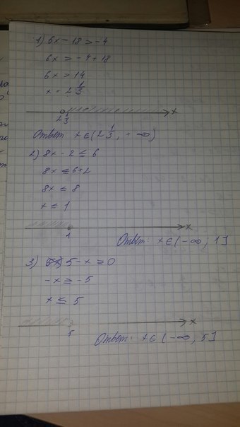
1) Ответ: (2 1\3; +бесконечность)
2) ответ: (-бесконечность;1]
3) Ответ: (-бесконечность;5]
2) ответ: (-бесконечность;1]
3) Ответ: (-бесконечность;5]
Приложения:
Вас заинтересует
2 года назад
2 года назад
2 года назад
2 года назад
7 лет назад
7 лет назад
9 лет назад