• Предмет: Алгебра
  • Автор: lisovak2001
  • Вопрос задан 10 лет назад

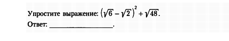
Объясните как решить. Алгебра 8 класс.

Приложения:

Ответа на этот вопрос пока нет. Попробуйте найти его через форму поиска.

Вас заинтересует