Ответы
Ответ дал:
0
Решение
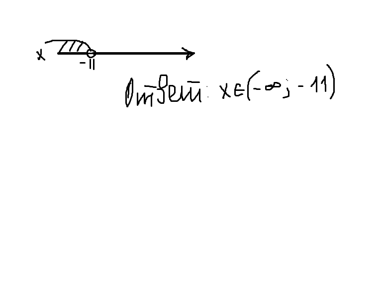
2х+6+3х>7х+28
5х+6>7х+28
5х-7х>28-6
-2х>22|*(-1)
2х<-22
х<-11
Приложения:

Вас заинтересует
2 года назад
2 года назад
8 лет назад
8 лет назад
10 лет назад
10 лет назад