• Предмет: Математика
  • Автор: nasta2902
  • Вопрос задан 10 лет назад

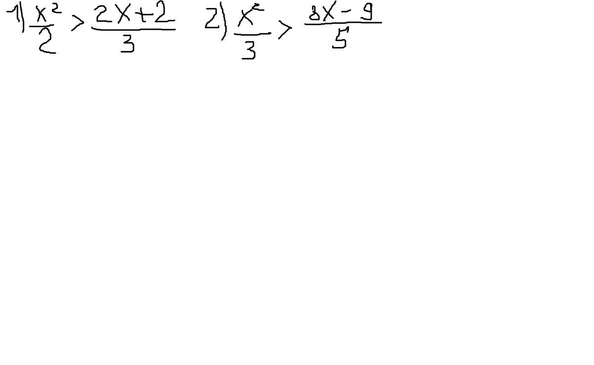
Помогите решить неравенства пожалуйста!!!!!

Приложения:

Ответы

Ответ дал: dvika2
0
1.  перенести правий дріб у ліву частину рівняння. потім звести до спільного знаменника - це є 6. додатковими множниками буде до першого дробу 3, а до другого 2. перемножаємо додаткові множники на чисельники і отримуємо дріб у чисельнику якого зх у квадраті -4х-4=0.   через дискримінант розвязуємо=64. х1=2,  х2=-дві третіх.  парабола вітками вгору. наші проміжки (від - нескінченності до - дві третіх) в обєднання (від двох до плюс нескінченності).
Вас заинтересует