• Предмет: Математика
  • Автор: dima18991
  • Вопрос задан 10 лет назад

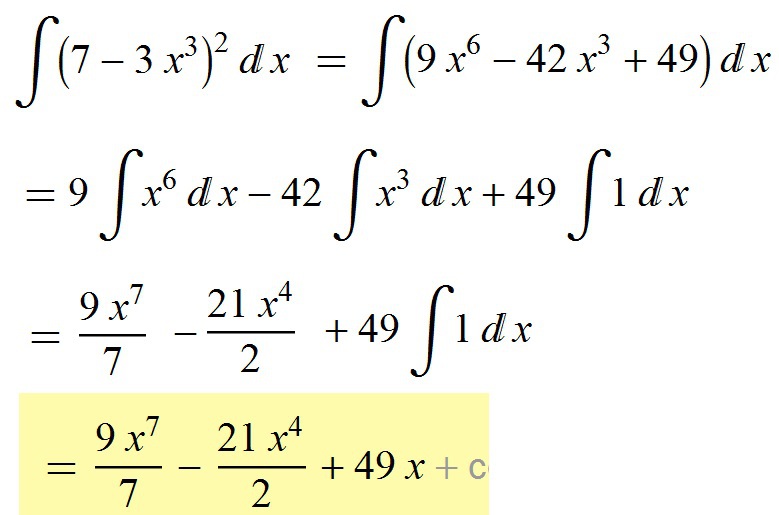
интеграл (7-3x^3)^2 * dx

Ответы

Ответ дал: JhonnyM
0
_________________________________
Приложения:
Вас заинтересует