Ответы
Ответ дал:
0
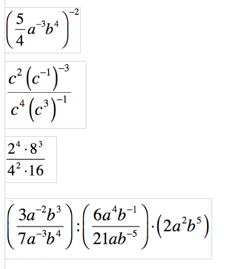
1) =(5b^4/4a^3)^(-2) =(4a^3/5b^4)² =16a^6/25b^8
2) =(c²*c^3) /(c^4*c^-3) =c^5*c^3 /c^4 =c^8/c^4 =c^4
3) =2^4*2^3 /2^4*2^4 =2^3/2^4 =1/2 =0.5
4) =(3b^3*a^3 /7a²b^4) : (6a^4*b^5 /21ab^1) * 2a²b^5 =3a/7b * 21/6a^3b^4 * 2a²b^5 =
(3a *21 *2a²b^5) /(7b*6a^3b^4) =(6a^3b^5*21) /(7*6a^3b^5) =21/7 =3
значок ^ обозначает в степени
2) =(c²*c^3) /(c^4*c^-3) =c^5*c^3 /c^4 =c^8/c^4 =c^4
3) =2^4*2^3 /2^4*2^4 =2^3/2^4 =1/2 =0.5
4) =(3b^3*a^3 /7a²b^4) : (6a^4*b^5 /21ab^1) * 2a²b^5 =3a/7b * 21/6a^3b^4 * 2a²b^5 =
(3a *21 *2a²b^5) /(7b*6a^3b^4) =(6a^3b^5*21) /(7*6a^3b^5) =21/7 =3
значок ^ обозначает в степени
Вас заинтересует
3 года назад
3 года назад
8 лет назад
8 лет назад
10 лет назад
10 лет назад