стороны основания правильной четырехугольной пирамиды равны 10 дм и 2 дм,а ее высота - 2 дм. найти площадь диагонального сечения этой пирамиды.
Ответы
Ответ дал:
0
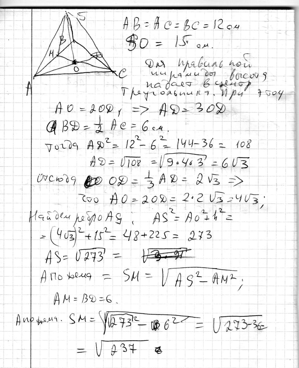
Это решение той задачи
Приложения:


Ответ дал:
0
Где это видно? Что усеченная? Та задача, что здесь выложена, решена верно. Уверяю
Ответ дал:
0
эта задача, я ошибся и там в коментах указал что она усеченная)
Ответ дал:
0
Скиньте адрес. Позже посмотрю
Ответ дал:
0
этот адрес, выше задача
Ответ дал:
0
Теперь все.
Вас заинтересует
2 года назад
7 лет назад
9 лет назад
10 лет назад