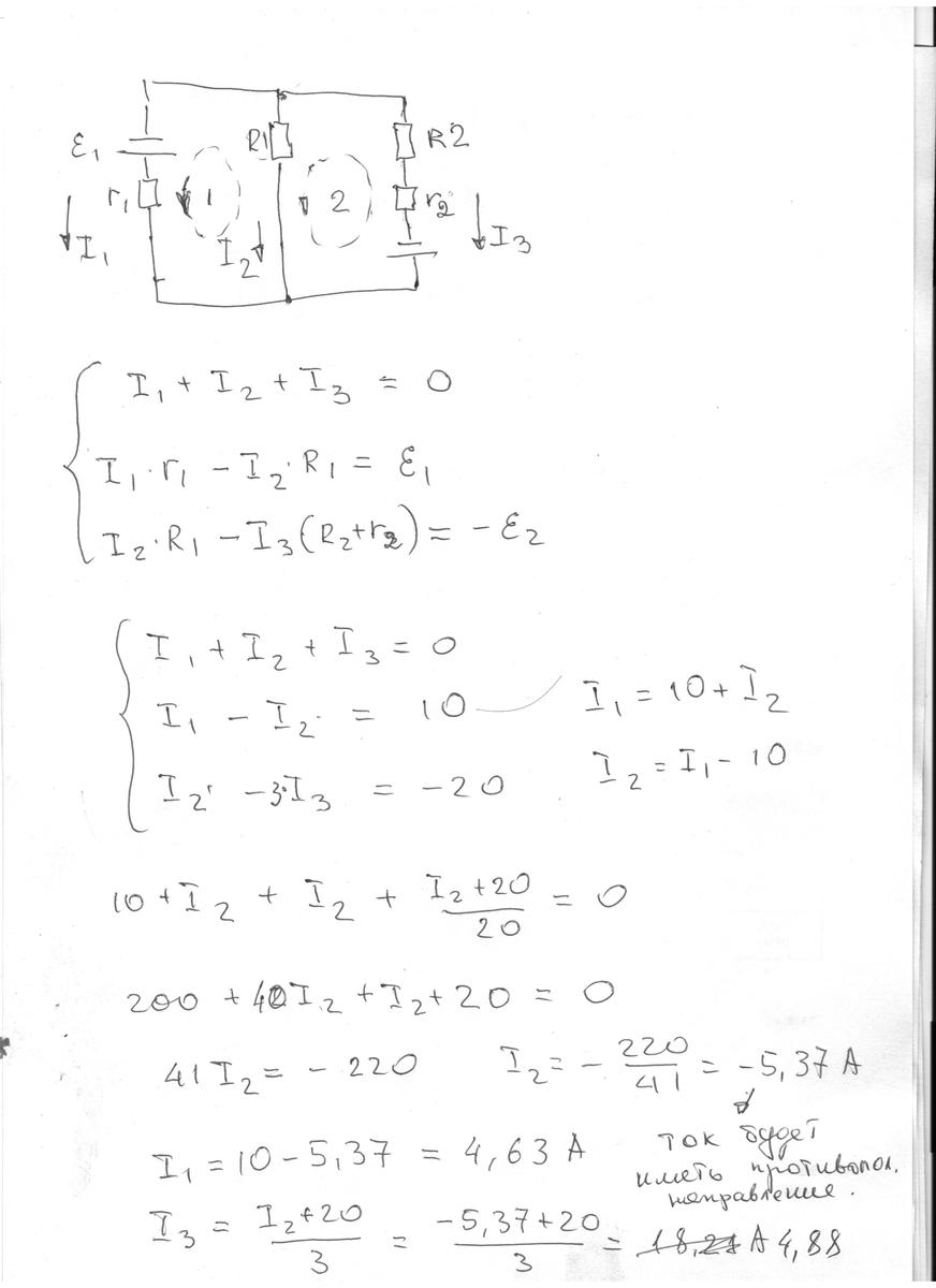
Определить токи, идущие через сопротивление, если E1=10 В, Е2=20 В, R1= 1 Oм, r1=r2= 1 Ом, R2=2 Ом
Вроде бы должно получится уравнение с тремя неизвестными, помогите пожалуйста их составить)
Приложения:
Ответы
Ответ дал:
0
ОТВЕТ НЕПРАВИЛЬНЫЙ
ГДЕ-ТО СДЕЛАЛ ОШИБКУ, НО СМЫСЛ ТАКОЙ
ГДЕ-ТО СДЕЛАЛ ОШИБКУ, НО СМЫСЛ ТАКОЙ
Приложения:
Вас заинтересует
3 года назад
3 года назад
10 лет назад
10 лет назад
10 лет назад