• Предмет: Алгебра
  • Автор: Дигидроортоборат
  • Вопрос задан 10 лет назад

30 БАЛЛОВ
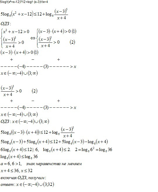
5log₆(x²+x-12)≤12+log₆ (x-3)⁵/x+4

Ответы

Ответ дал: kirichekov
0
решение во вложении--------------------------
Приложения:
Вас заинтересует