• Предмет: Математика
  • Автор: мазаракинг
  • Вопрос задан 10 лет назад

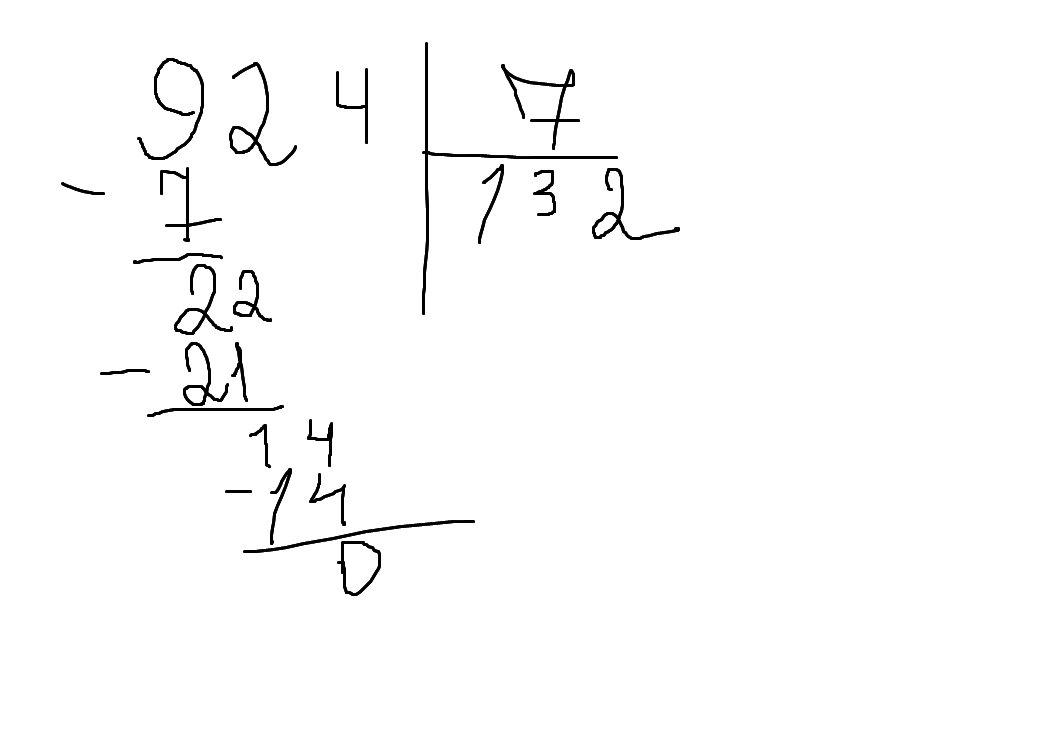
как 924 :на 7 в столбик

Ответы

Ответ дал: alyazubkova2015
0
924/_7_
7_     /132 
22
21_
  14
  14_
    0
Ответ дал: nvw44889
0
хех. накалякал)  ну вот вообщем..
Приложения:
Вас заинтересует