Ответы
Ответ дал:
0
Решение
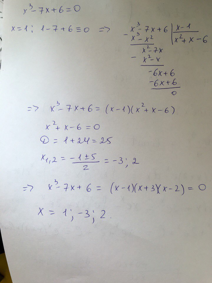
x³ - 7x + 6 = 0
x₁ = 1
x³ - 7x + 6 I x - 1
- (x³ - x²) x² + x - 6
(x² - 7x)
- (x² - x)
- 6x + 6
-(- 6x + 6)
0
x³ - 7x + 6 = (x - 1)*(x² + x - 6)
x² + x - 6 = 0
x₂ = - 2
x₃ = 3
x³ - 7x + 6 = (x - 1)*(x + 2)*(x - 3)
Ответ: x₁ = 1; x₂ = - 2; x₃ = 3
x³ - 7x + 6 = 0
x₁ = 1
x³ - 7x + 6 I x - 1
- (x³ - x²) x² + x - 6
(x² - 7x)
- (x² - x)
- 6x + 6
-(- 6x + 6)
0
x³ - 7x + 6 = (x - 1)*(x² + x - 6)
x² + x - 6 = 0
x₂ = - 2
x₃ = 3
x³ - 7x + 6 = (x - 1)*(x + 2)*(x - 3)
Ответ: x₁ = 1; x₂ = - 2; x₃ = 3
Ответ дал:
0
Решение на фотографии
Приложения:

Вас заинтересует
2 года назад
2 года назад
7 лет назад
9 лет назад