Ответы
Ответ дал:
0
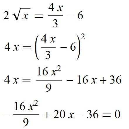
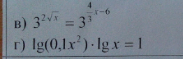
1) Степени равны соответственно, а значит (см. картинку), решая квадратное уравнение находим x=9
2) По свойству логарифма, объединяем в один логарифм, перемножив их содержимое lg(0.1x^3)=1
А зная свойство:
![lg[x]= frac{ln[x]}{ln[10]} lg[x]= frac{ln[x]}{ln[10]}](https://tex.z-dn.net/?f=lg%5Bx%5D%3D+frac%7Bln%5Bx%5D%7D%7Bln%5B10%5D%7D+)
получаем 0.1x^3=10
Откуда x³=100
=>

![x=- sqrt[3]{-1} *10^{ frac{2}{3} } x=- sqrt[3]{-1} *10^{ frac{2}{3} }](https://tex.z-dn.net/?f=x%3D-+sqrt%5B3%5D%7B-1%7D+%2A10%5E%7B+frac%7B2%7D%7B3%7D+%7D)
2) По свойству логарифма, объединяем в один логарифм, перемножив их содержимое lg(0.1x^3)=1
А зная свойство:
получаем 0.1x^3=10
Откуда x³=100
=>
Приложения:
Вас заинтересует
2 года назад
2 года назад
8 лет назад
10 лет назад
10 лет назад
10 лет назад