• Предмет: Алгебра
  • Автор: u4r5
  • Вопрос задан 11 лет назад

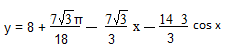
найдите наименьшее значение функции на отрезке [0;п/2]

Приложения:

Ответы

Ответ дал: Loudon
0

В четвёртом слагаемом в числителе 14 корней из 3 же?

Продифференцируем функцию:

y'(x) = (14 корней из 3)sinx/3  - (7 корней из 3)/3 = ((7 корней из 3)/3) * (2sinx - 1) 

Знаем, что sinx на заданном интервале возрастает от 0 до 1. Значит, производная функции будет сначала отрицательной (пока sinx < 1/2), а после этого положительной - функция сначала убывает, а потом нарастает. Следовательно, наименьшее значение она приобретёт в точке смены знака производной - там где sinx=1/2. x равен п/6

Подставим эти значения в исходную функцию:

y =  8 + (7 корней из 3)п/18 - (7 корней из 3)x/3 - (14 корней из 3)cosx/3 

y =  8 + (7 корней из 3)п/18 - (7 корней из 3)п/18 - (14 корней из 3)(корень из 3)/6

y =  8  - (14 корней из 3)(корень из 3)/6 = 8 - 14*3/6 = 1 

Ответ: y=1

Вас заинтересует