• Предмет: Геометрия
  • Автор: Coldmotorola
  • Вопрос задан 10 лет назад

Задание по призмам! 10 класс, хоть с чем нибудь помогите пожалуйста! и если не сложно рисунок:
1) длина диагонали прямоугольного параллелепипеда больше его измерений на 10,13,29.найти диагональ параллелепипеда и угол между диагональю параллелепипеда и основанием.
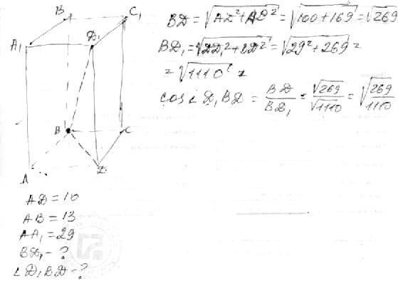
2) Основание прямой призмы abca1b1c1 равнобедренный треугольник (АВ=ВС=10). высота призмы 9. диагональ боковой грани АСС1А1 = 15. Найти площадь основания призмы и длину диагонали грани АВВ1А1.
3) основание прямой призмы - прямоугольная трапеция, боковые стороны которой 18 и 30, меньшее основание 8. Диагональ боковой грани, проходящей через большее основание трапеции, наклонена к плоскости основания призмы под углом 30 градусов. Найти высоту призмы и длины проекций диагоналей призмы на плоскость нижнего основания.

Ответы

Ответ дал: математик2011
0
Хоть что-то___________
Приложения:
Ответ дал: Coldmotorola
0
Ура,спасибо)
Вас заинтересует