Ответы
Ответ дал:
0
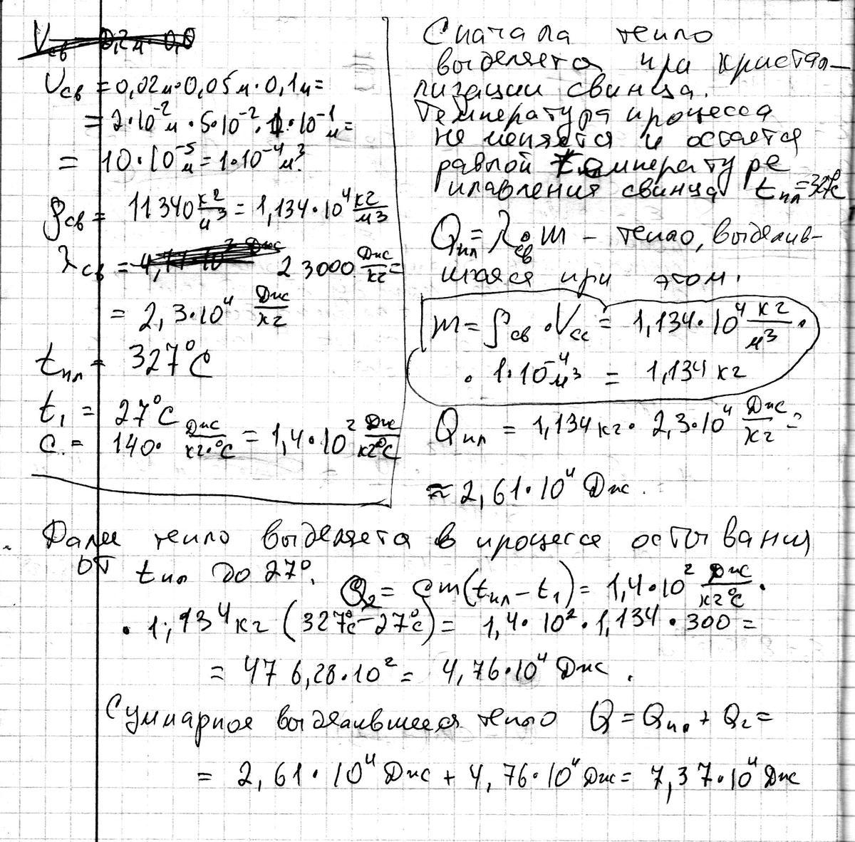
Задачку про свинец я уже решал, но скину.
Приложения:


Вас заинтересует
2 года назад
2 года назад
7 лет назад
9 лет назад
9 лет назад