• Предмет: Алгебра
  • Автор: ameruca
  • Вопрос задан 11 лет назад

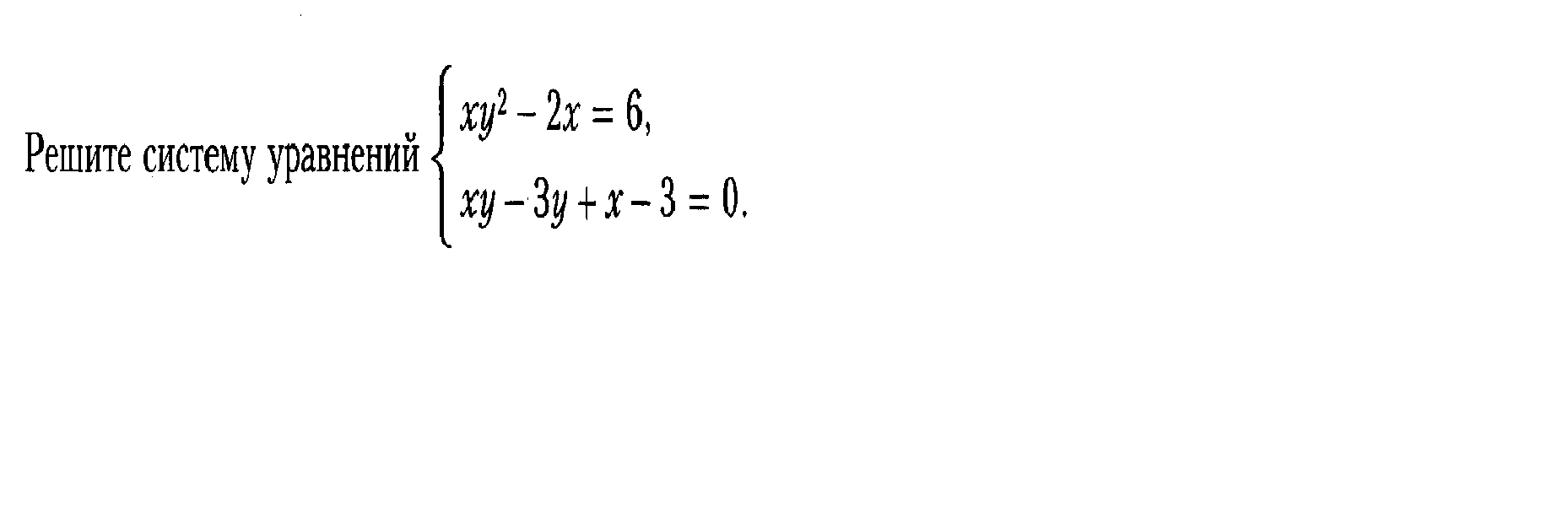
Решите систему уравнеий

Приложения:

Ответы

Ответ дал: levinech
0

х(у²-2)=6

 

х= 6

    у²-2  из первого уравнения . Теперь подставляем во второе уравнение

 

6у    -  3у   +6       -3=0

у²-2              у²-2

 

6у-3у(у²-2)+6-3(у²-2)=0   умножаем правую и левую часть уравнения на (у²-2)

        у²-2

 

6у-3у³+6у+6-3у²+6=0

-3у³-3у²+12у+12=0

-3у²(у+1)+12(у+1)=0

(у+1)(12-3у²)=0

у+1=0      и      12-3у²=0

у=-1                   3у²=12

                             у²=4

                        у₁=-2     у₂=-2

 

Находим х

х₁=6           =-6

    (-1)²-2

х₂=  6          =3

      (-2)²-2

х³=3

Ответ (-6;1), (3;-2), (3;2)

Вас заинтересует