На концах рычага действуют силы 80Н и 50Н . Определить длину большего плеча рычага если длина меньшего 10 см. Рычаг находится в равновесии . Сделайте рисунок. Помогите пожалуйста очень срочно надо!
Ответы
Ответ дал:
0
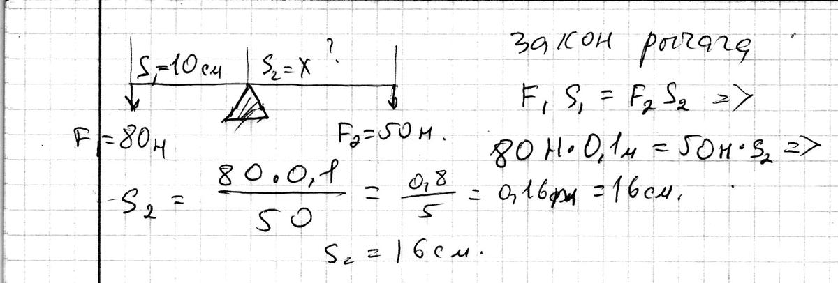
Решение в скане. Удачи
Приложения:

Ответ дал:
0
спасибо!)
Ответ дал:
0
L₁=10см L₂=?
_________________________________
↓ Δ ↓
F₁=80H F₂=50H
L₁=10см = 0,1м
Решение:
F₁L₁=F₂L₂
L₂=F₁L₁ / F₂
L₂=80Н·0,1м / 50Н=0,16м = 16 см
Ответ: 16см
_________________________________
↓ Δ ↓
F₁=80H F₂=50H
L₁=10см = 0,1м
Решение:
F₁L₁=F₂L₂
L₂=F₁L₁ / F₂
L₂=80Н·0,1м / 50Н=0,16м = 16 см
Ответ: 16см
Приложения:

Ответ дал:
0
спасибо!)
Вас заинтересует
2 года назад
2 года назад
9 лет назад
9 лет назад
10 лет назад