решить задачу
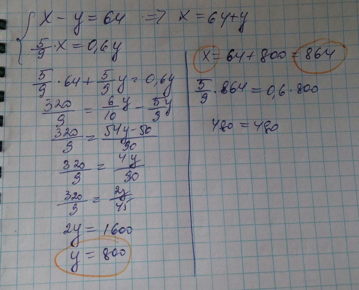
разница двух чисел равна 64, найдите эти числа, если 59 большого из них равно 60% меньшого
Ответы
Ответ дал:
0
Смотри решение на фото
Приложения:

Вас заинтересует
2 года назад
2 года назад
7 лет назад
9 лет назад