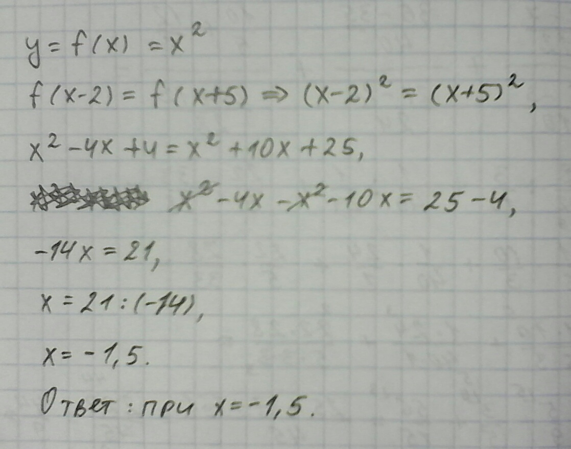
дана функция Y=f(X) где f(X)=х в квадрате. при каких значениях аргумента верно равенство f(X-2)=f(х+5)?
Ответы
Ответ дал:
0
Решение задания на фото.
Приложения:

Вас заинтересует
7 лет назад
7 лет назад
9 лет назад
10 лет назад