Ответы
Ответ дал:
0
получаем неравенство
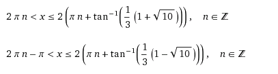
3ctg x≥-1
ctg x≥ -1/3
3ctg x≥-1
ctg x≥ -1/3
Приложения:
Вас заинтересует
3 года назад
3 года назад
8 лет назад
8 лет назад
10 лет назад
10 лет назад
10 лет назад
10 лет назад