• Предмет: Математика
  • Автор: анна449
  • Вопрос задан 10 лет назад

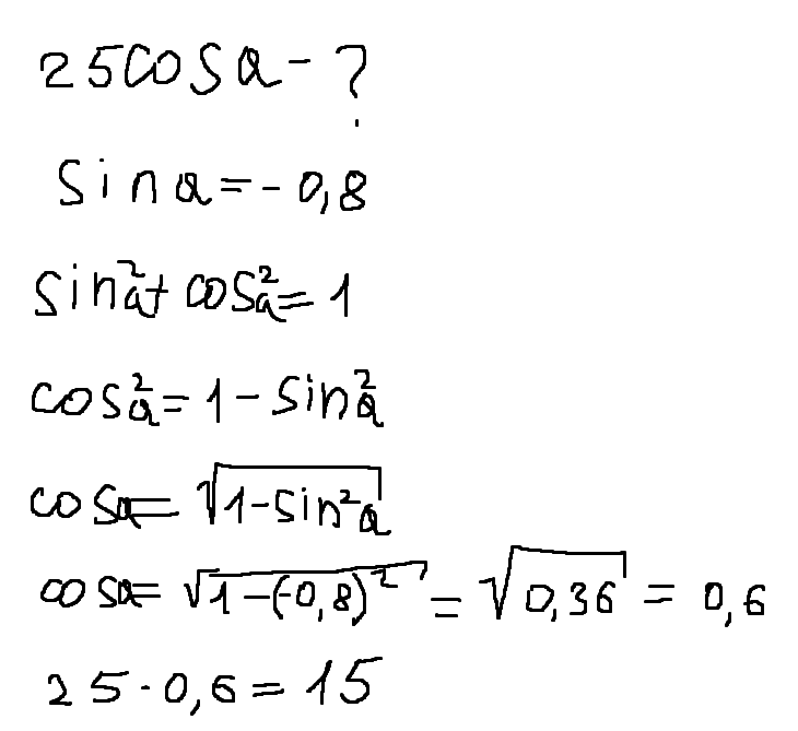
найдите 25cosa, если sina=-0. 8

Ответы

Ответ дал: kristina00
0
решение на фото)))))))))))))))
Приложения:
Вас заинтересует