• Предмет: Алгебра
  • Автор: kapyshevadana
  • Вопрос задан 10 лет назад

Объясните пожалуйста
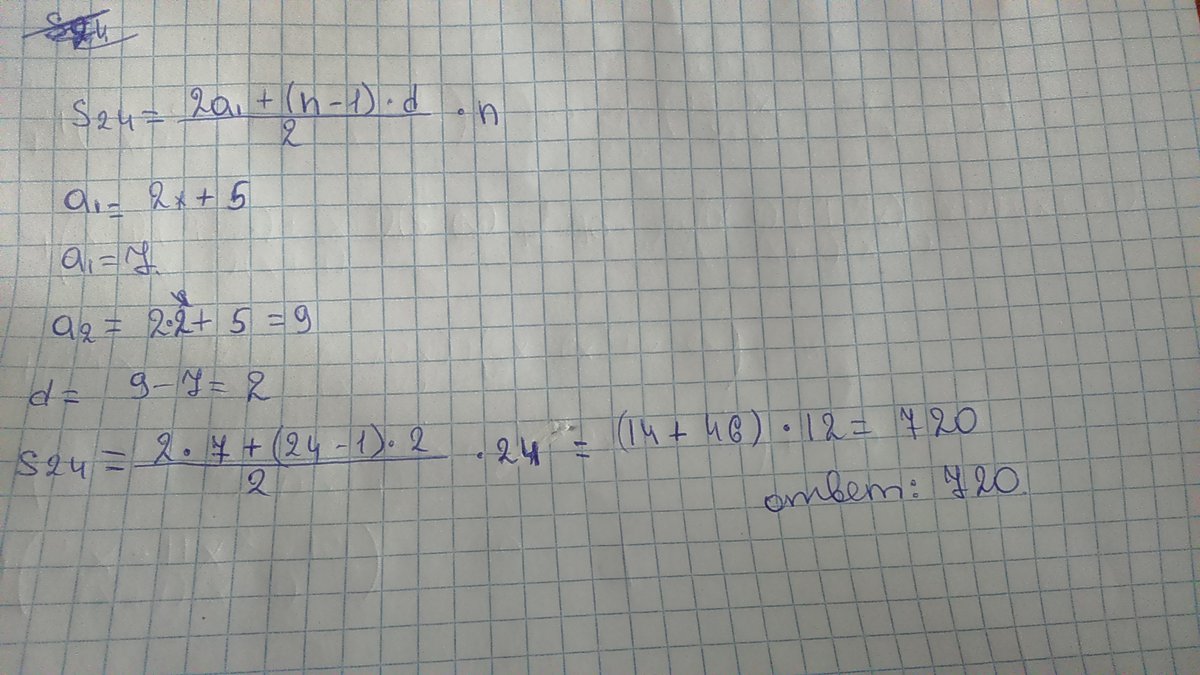
Найдите сумму 20-ти 4-х членов последовательности с общим членом An=2n+5
Варианты:
712
432
785
710
720

Ответы

Ответ дал: KaramelkaKim
0
не знаю поймешь или нет, но ответ вроде правильный 
Приложения:
Ответ дал: kapyshevadana
0
Здесь все ясно. Спасибо большое!
Вас заинтересует