Ответы
Ответ дал:
0
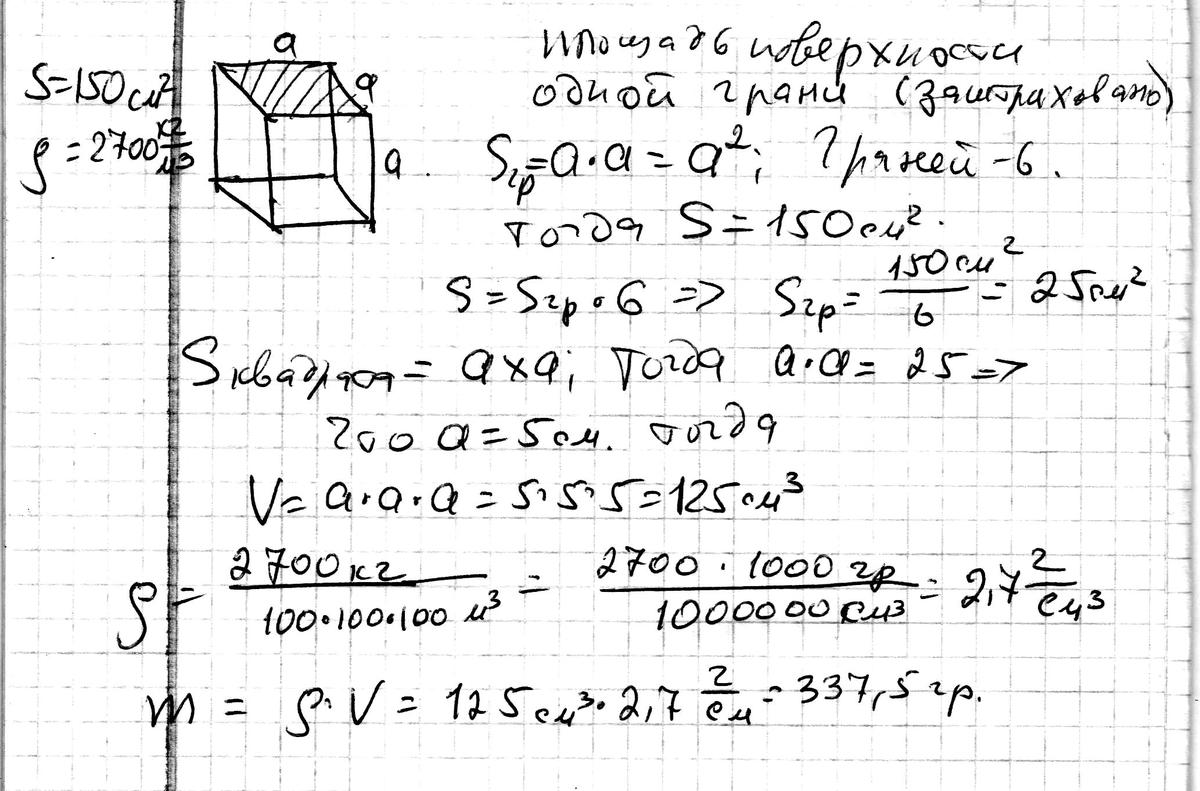
Вот решение. Удачи Вам.
Приложения:

Ответ дал:
0
Спасибо.
Вас заинтересует
2 года назад
2 года назад
9 лет назад